创能云

查看: 758|回复: 0

制造企业数字化转型能力评价体系及应用

[复制链接]

1442

主题

1444

帖子

5798

积分

超级版主

Rank: 8Rank: 8

积分
5798

最佳新人活跃会员热心会员推广达人宣传达人灌水之王突出贡献优秀版主荣誉管理论坛元老

发表于 2022-2-10 14:05:14 | 显示全部楼层 |阅读模式
本帖最后由 创能运营01 于 2022-2-10 14:07 编辑

制造企业数字化转型的核心是以数据作为关键要素,将信息技术与制造技术全面融合,渗透到企业生产运营全流程中,对企业的生产制造、组织与管理等方面产生变革,以提升企业应对市场变化的能力,因此,本文从技术变革、组织变革和管理变革 3 个方面(一级指标)对制造企业数字化转型的指标体系进行探究。

一、评价指标体系构建

1 技术变革
5G、工业互联网等新一代信息技术的发展促使企业对基础条件如网络、通信设备和原有系统等进行重构与变革,为企业的创新行为提供技术资源的支撑,加速企业产品与服务的创新,探索新的市场机遇。如阿里巴巴的数据中台系统,包括了对海量数据进行采集、计算、存储、加工的一系列技术集合。因此选取数字化基础设施建设、数字化研发和数字化投入对技术层面指标进行探究。

(1)数字化基础设施建设
数字化基础设施建设是制造企业进行数字化转型的基石。选取主干网与互联网接口带宽、主干网网络覆盖率和数据安全措施应用率作为数字化基础设施的主要评价指标。主干网是企业所有通信和数字化相关系统的承载体,将企业的生产管理的全流程进行连接,并延伸到每一个岗位,主干网与互联网接口带宽是反应企业数据传输量的重要指标,主干网网络覆盖率反映企业各部门间的网络覆盖情况,是企业生产管理数据的精准、低延时互联互通的重要前提。安全措施应用率反映企业当前在智能设备、网络、平台与数据方面的安全建设状况,比值越大,则企业信息网络安全可靠性越强。

(2)数字化研发
数字化研发是企业转型升级的主要动力,选取新产品产值率、R&D 投入强度和员工人均专利数作为评价企业数字化研发的主要指标。新产品产值率指一定报告期内新产品产值与企业总产值的比重,是反映企业研究成果快速转化为新产品并适应市场变化的能力的重要指标。R&D 投入强度反映企业对科技和创新的投入力度,比值越高越能提升企业的技术创新能力,越能促进企业转型。员工人均专利数可以直观反映企业对新技术、新产品开发的实际情况,其中发明专利相比于实用新型和外观设计更具有在未来创造更大价值的潜力。

(3)数字化投入
数字化投入为推动企业数字化转型提供支持,选取数字化投入占比、数字化设备投入占比、数字化运维投入占比和数据安全投入占比作为数字化投入的评价指标。数字化投入占比指企业数字化总投入与企业总投入的比值,反映企业对数字化转型的重视程度,数字化投入占比越高,企业对数字化转型越重视,数字化转型效果越明显。数字化设备投入占比、数字化运维占比和数据安全投入占比分别指企业在数字化设备、运维和数据安全上的投入与数字化总投入的比重,对数字化转型的合理投入可以加速企业转型进程,增强转型效果。

2 组织变革
随着消费需求日益个性化,迫使企业利用数字化技术变革组织结构,以增强对市场的反应速度。同时也需要员工之间加强直接沟通与信息获取,提高数字化技能与管理能力,进而拉动企业对数字化应用人才的需求。因此选取组织架构和数字化人才对组织层面指标进行分析。

(1)组织架构
数字化转型为企业的组织架构带来重要变革,选取数字化部门领导者地位和企业管理层级数量作为组织架构的评价指标。数字化部门领导者的企业地位越高,数字化的推进越明显。企业数字化转型所带来的最明显的组织变革即敏捷制造,企业管理层级数量可以反映出企业的组织架构模式,企业管理层级数量越少,企业组织架构成扁平化发展,降低部门与部门、员工与员工间的信息壁垒,能够快速适应技术变革带来的不确定性,提升组织的整体效率。如海尔在数字化的驱动下,完全摈弃了过去科层制的架构模式,而代之以自创的平台化组织模式,而这种模式所依赖的就是所谓的“三化”机制——企业平台化、用户个性化和员工创客化。

(2)数字化人才
数字化人才是推动企业数字化转型的关键要素之一,选取数字化人才比重、数字化技能员工覆盖率和初级数字化技能人才培训支出比作为数字化人才的评价指标。企业数字化相关人才数与企业员工总数比反映企业数字化人才比重,也反映出企业数字化转型在人力资源方面的软实力情况。数字化技能员工覆盖率反映企业员工对数字化技术的应用情况,比值越高,员工对数字化设备的操作更熟练,数字化设备的利用程度越高。初级数字化技能培训支出与企业员工培训支出的比重反映企业员工数字化技术的应用状况。

3 管理变革
制造企业通过数字化转型打通生产与管理全流程的数据链,促进业务流程变革、生产变革和财务变革,提高产品质量和生产效率。因此选取业务数字化管理、生产数字化管理和财务管理对管理层面指标进行研究。

(1)业务数字化管理
业务数字化管理是企业数字化转型的重点之一,选取电子商务采购比率、数字化仓储物流设备占比、订单准时交付率以及数据可视化率作为业务管理的评价指标。电子商务采购比率指企业利用电子商务采购金额与总采购金额的比值,电子商务采购在信息传递方面的特点可以打破时间与空间的限制,缩短采购周期,降低制造企业的交易成本。数字化仓储物流设备是企业降低库存的物质技术基础,是企业降低物流与库存成本的主要标志。订单准时交付率是反映企业通过大数据,联动供应链上下游资源,提升协作配套生产能力,以快速响应市场变化,满足客户要求的重要指标。数据可视化率用于评估生产现场可视化对象的管理水准,帮助实现企业生产全流程的精准管控。

(2)生产数字化管理
数字化生产是企业数字化转型的关键,选取作业自动化编制及优化排程比例、与 PCS 或 MES 直接相连的数字化设备占比、数字化检测设备占比和在线设备管理与运维比例作为衡量企业数字化生产能力的指标。自动化编制及优化排程比例反映企业数字化生产作业计划与车间调度的覆盖范围与控制精度。与 PCS 或 MES 直接相连的数字化设备占比反映企业数字化生产设备接入、数据采集与互通情况,生产设备的互联互通可以帮助企业对生产过程中的各种数据进行收集、分析与处理,优化生产方案,进行数字化、柔性化生产管理。数字化检测设备占比能反映企业在生产过程中对产品质量的在线检测与控制的能力,加强对产品全生命周期的追溯管理。在线设备比例能够反映企业在生产过程中对企业用料、用物、用能等进行在线监测,分析其使用是否合理等。

(3)财务数字化管理
财务数字化管理为企业数字化转型提供保障,选取 ERP 系统覆盖率、资金周转率和库存资金占有率反映企业财务管理指标。ERP 系统可以打通企业生产与管理全流程数据,为企业的经营决策提供数据支持。企业资金周转率反映在保证生产经营正常进行的情况下流动资金的周转速度。库存资金占有率是反应企业库存信息化效益状况的效益指数。如华为通过交易核算自动化、ERP 优化等多种方法实现全球核算实时可视,过程可跟踪、可管理,仅需 3 天即可完成月度财务报告,11 天完成年度财务报告,全面数字化已成为华为新的竞争优势。

通过分析,从数字化基础设施、数字化研发、数字化投入、组织架构、数字化人才、业务数字化管理、生产数字化管理和财务数字化管理等 7 个方面 26 项细化指标构建企业数字化转型能力评价体系,如表 1 所示。

表 1 企业数字化转型能力评价指标体系

二、评价指标权重的确定
应用层次分析法(AHP 法)确定指标权重,并设计了《企业数字化转型能力评价指标重要度专家调查表》,对业内 8 位分别来自政府、企业和科研机构的专家进行了访谈并填写调查表,通过算术平均法对 8 位专家的评分结果进行数据整理。具体步骤如下:

首先建立评价指标集:

一级指标集包括P={X,Y,Z};

二 级指标集包括:X={X1,X2,X3},Y={Y1,Y2,Y3},Z={Z1,Z2,Z3};

三级指标集包括 :X1={X11,X12,X13},X2={X21,X22,X23},X3={X31,X32,X33,X34};

Y1={Y11,Y12},Y2={Y21,Y22,Y23};Z1={Z11,Z12,Z13,Z14},Z2={Z21,Z22,Z23,Z24},Z3={Z31,Z32,Z33}。

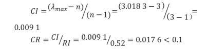
根据指标体系构建判断矩阵,计算矩阵特征值,进行归一化处理和一致性检验。以X2评价指标为例进行计算。

X2={新产品产值率,R&D投入强度,员工人均专利数}


通过计算可得,WY1=(0.5571,0.320,0.1226),λmax=3.0183,由于n为 3,所一致性检验结果如下:


根据检验结果可知,该指标层判断矩阵一致性可以接受。

最终计算结果见表 2。

表 2 制造企业数字化转型能力评价指标权重


根据计算结果可知,目标组合权重值为:W=(0.0472,0.1114,0.1751,0.0566, 0.0849,0.1815,0.285 3,0.0579)

三、评价指标体系的应用
轴承行业是浙江省新昌县的特色产业集群,现有轴承生产制造企业 400 多家,产值约占全县工业总产值的 10%,但绝大部分是小微企业。由于生产经营管理比较粗放,企业利润率在 5% 与亏损之间。在龙头企业的带动下,通过数字化改造的企业显著降低了成本,提升了利润率。因此,新昌县发展企业数字化制造、提供行业平台化服务、政府对小微企业提供免费体验式扶持,加快对轴承产业集群进行数字化改造。

截至 2019 年 6 月,已有 189 家轴承企业完成了数字化改造,并接入轴承行业工业互联网平台。为了对轴承企业的数字化转型能力有一个全面客观的评价,根据走访调研,选取斯菱股份、普佑科技和开源轴承三家企业为代表进行数字化转型能力评价。

首先,根据制造企业数字化转型能力评价体系的各项指标设计了《制造企业数字化转型能力调查表》,并由 3 家轴承企业高层管理者结合企业情况对调查表进行填写,对三级指标中的量化指标提供实际数据,不能量化的指标提供参考值;

其次,成立企业数字化转型能力评审专家组,其中专家组成员由新昌县经信局、有关信息工程公司高管和高校专家等人员组成,通过实地走访调研和深入访谈,评审专家对 3 家企业填写数据进行核查,认为 3 家企业的填写数据较客观地反映了企业实际情况;最后,8 位专家分别对 3 家企业不能量化的各项指标进行打分。
对 8 位专家打分结果求取平均值,结合量化指标值,根据指标权重求得三家企业各项指标分值,经计算,得分结果最终见表 3。

表 3 斯菱股份数字化转型能力评价得分表

根据专家评分结果和各指标可知:3 家企业的数字化转型能力的综合评分均未达到 85 分,尚有待提升。(2)普佑科技的数字化转型能力评分相对较高,从单项指标来看,其在业务数字化管理和财务数字化管理方面表现最佳,但在数字化人才方面得分未超过 80 分,得分较低。(3)斯菱股份各项指标得分多集中在 70 ~ 80 分,在组织架构和财务数字化管理方面表现超过 80 分,在数字化人才方面得分最低。(4)开源轴承的数字化转型能力在 3 家企业中排名最后,组织架构和数字化人才得分均未超过 70 分,表现较差,但在生产数字化管理的方面表现相对较好。(5)由于 3 家企业普遍缺乏数字化专业人才,在数字化人才方面得分均表现较差,应加强对数字化人才培养与建设。

四、结论与建议
本文通过梳理制造企业数字化转型相关理论研究,分析企业数字化转型的影响因素,构建了制造企业数字化能力评价指标体系,采用专家评估法明确不同层次指标的权重,实现企业数字化能力的评价与应用,为企业数字化转型能力的评价提供理论参考。

(1)企业要加强对数字化技术在生产管理方面的应用。生产数字化管理和业务数字化管理的指标权重较高,是衡量企业数字化转型能力的关键指标。制造企业在应用数字化技术过程中,要重点提升生产数字化水平。要注重数字化技术在生产过程的全方位应用,打通数据链,防止出现“数据孤岛”。

(2)企业要加大对数字化技术的研发与投入。在技术层面中,数字化投入和数字化研发能力指标的权重较大,反映出数字化投入对转型发展起到了重要的作用。因此,企业要加大数字化相关技术投入,特别是在数字化设备、运维和安全方面的投入;同时,企业要重点研发产品的数字化含量,从而提升产品附加值,降低同质化效应。

(3)企业加强数字化人才队伍建设。根据制造企业数字化转型能力的应用案例评价发现,制造企业数字化相关人才缺乏问题突出。一方面,制造企业应根据需要加强引进数字化相关人才;另一方面,要建立健全数字化人才培养制度,提高现有员工对数字化技术和管理的素养。

作者:陈畴镛 许敬涵

原文刊载于《科技管理研究》第11期,侵权请联系删除
回复

使用道具 举报

您需要登录后才可以回帖 登录 | 注册关闭

本版积分规则

QQ|手机版|创能云社区 ( 蜀ICP备17018785号-2 )

GMT+8, 2025-12-16 04:07 , Processed in 0.045464 second(s), 18 queries .

创能云社区 Discuz

© 2017-2021 Comsenz Inc.

快速回复 返回顶部 返回列表